Официальное опубликование правовых актов
ОФИЦИАЛЬНОЕ ОПУБЛИКОВАНИЕ
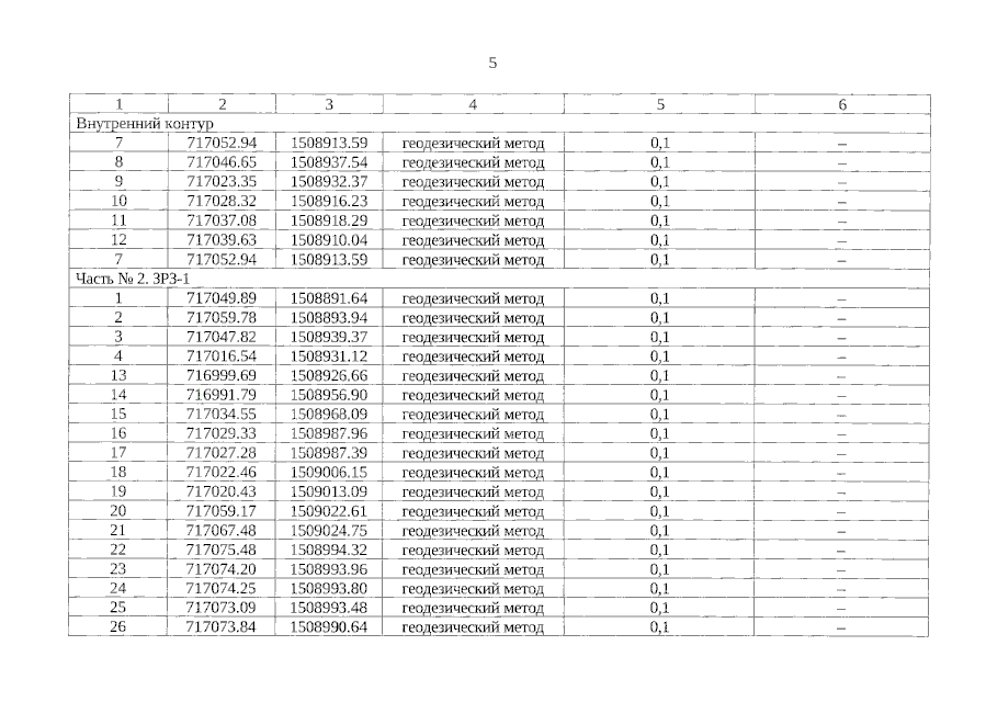
Приказ Управления государственной охраны объектов культурного наследия Свердловской области от 02.06.2023 № 337
"Об установлении зон охраны объекта культурного наследия федерального значения "Дом, в котором в 1859–1867 гг. жил Попов Александр Степанович", расположенного по адресу: Свердловская область, г. Краснотурьинск, ул. Попова, д. 70, и утверждении требований к градостроительным регламентам в границах данных зон"
(Зарегистрирован 05.06.2023 № 288)
Номер опубликования: 6601202306060001
Дата опубликования: 06.06.2023
Страница №5 из 15:
Увеличить