Официальное опубликование правовых актов
ОФИЦИАЛЬНОЕ ОПУБЛИКОВАНИЕ
Приказ Управления государственной охраны объектов культурного наследия Свердловской области от 02.06.2023 № 338
"Об установлении зон охраны объекта культурного наследия регионального значения "Здание, где работал профессор Санкт-Петербургского университета, основатель геологического музея Е.С. Федоров", расположенного по адресу: Свердловская область, г. Краснотурьинск, ул. Октябрьская, д. 45, и утверждении требований к градостроительным регламентам в границах данных зон"
(Зарегистрирован 05.06.2023 № 289)
Номер опубликования: 6601202306050007
Дата опубликования: 05.06.2023
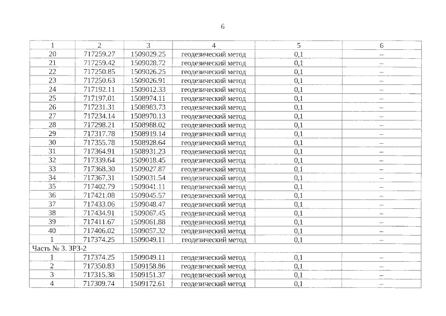
Страница №6 из 18:
Увеличить