Официальное опубликование правовых актов
ОФИЦИАЛЬНОЕ ОПУБЛИКОВАНИЕ
Приказ Министерства строительства и развития инфраструктуры Свердловской области от 23.05.2023 № 302-П
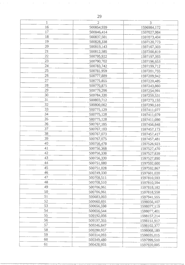
"Об утверждении основной части проекта планировки территории для размещения особой экономической зоны промышленно-производственного типа "Титановая долина" на территории муниципального образования город Алапаевск и основной части проекта межевания территории для размещения особой экономической зоны промышленно-производственного типа "Титановая долина" на территории муниципального образования город Алапаевск"
(Зарегистрирован 30.05.2023 № 261)
Номер опубликования: 6601202305310003
Дата опубликования: 31.05.2023
Страница №29 из 94:
Увеличить