Официальное опубликование правовых актов
ОФИЦИАЛЬНОЕ ОПУБЛИКОВАНИЕ
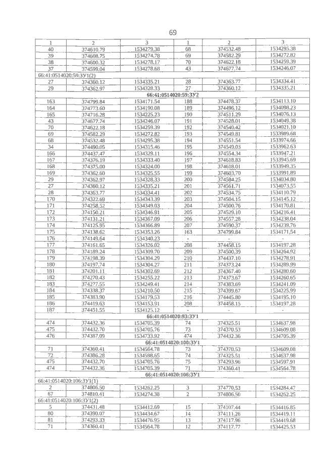
Приказ Министерства строительства и развития инфраструктуры Свердловской области от 23.05.2023 № 303-П
"Об утверждении основной части проекта планировки территории для размещения линейного объекта транспортной инфраструктуры регионального значения "Строительство автомобильной дороги "Подъезд к ТЛЦ "Большое Седельниково" от 81 км а/д "Екатеринбургская кольцевая автомобильная дорога" на территории муниципального образования "город Екатеринбург" и Сысертского городского округа". Этап 1.1 – от 81 км а/д "Екатеринбургская кольцевая автомобильная дорога" до а/д "Подъезд к Ново-Свердловской нефтебазе от км 2+230 а/д "Подъезд к д. Большое Седельниково" и основной части проекта межевания территории для размещения линейного объекта транспортной инфраструктуры регионального значения "Строительство автомобильной дороги "Подъезд к ТЛЦ "Большое Седельниково" от 81 км а/д "Екатеринбургская кольцевая автомобильная дорога" на территории муниципального образования "город Екатеринбург" и Сысертского городского округа". Этап 1.1 – от 81 км а/д "Екатеринбургская кольцевая автомобильная дорога" до а/д "Подъезд к Ново-Свердловской нефтебазе от км 2+230 а/д "Подъезд к д. Большое Седельниково"
(Зарегистрирован 29.05.2023 № 251)
Номер опубликования: 6601202305300001
Дата опубликования: 30.05.2023
Страница №69 из 90:
Увеличить