Официальное опубликование правовых актов
ОФИЦИАЛЬНОЕ ОПУБЛИКОВАНИЕ
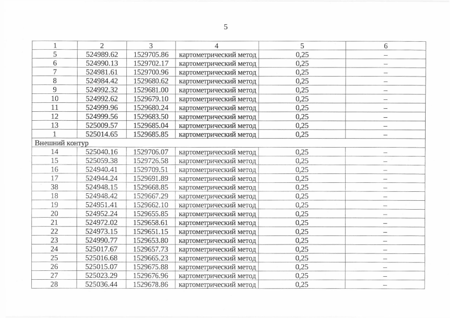
Приказ Управления государственной охраны объектов культурного наследия Свердловской области от 18.05.2023 № 304
"Об установлении зон охраны объекта культурного наследия регионального значения "Здание бывшей конторы Верхнесалдинского завода, где в 1897–1901 гг. работал ученый-металлург Грум–Гржимайло", расположенного по адресу: Свердловская область, г. Верхняя Салда, ул. Ленина, д. 64, и утверждении требований к градостроительным регламентам в границах данных зон"
(Зарегистрирован 19.05.2023 № 237)
Номер опубликования: 6601202305220001
Дата опубликования: 22.05.2023
Страница №5 из 13:
Увеличить