Официальное опубликование правовых актов
ОФИЦИАЛЬНОЕ ОПУБЛИКОВАНИЕ
Приказ Управления государственной охраны объектов культурного наследия Свердловской области от 17.05.2023 № 292
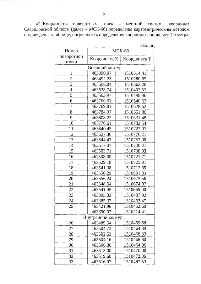
"О внесении изменения в границы территории объекта культурного наследия регионального значения "Невьянский механический завод" и входящих в его состав объектов культурного наследия "Кричный цех", "Плотина", "Электростанция", "Дымовая труба" и "Преображенский собор", расположенных по адресу: Свердловская область, г. Невьянск, территория Невьянского механического завода, и режим использования данной территории, утвержденные приказом Управления государственной охраны объектов культурного наследия Свердловской области от 29.05.2020 № 536"
(Зарегистрирован 19.05.2023 № 234)
Номер опубликования: 6601202305190009
Дата опубликования: 19.05.2023
Страница №2 из 3:
Увеличить