Официальное опубликование правовых актов
ОФИЦИАЛЬНОЕ ОПУБЛИКОВАНИЕ
Приказ Министерства строительства и развития инфраструктуры Свердловской области от 03.05.2023 № 273-П
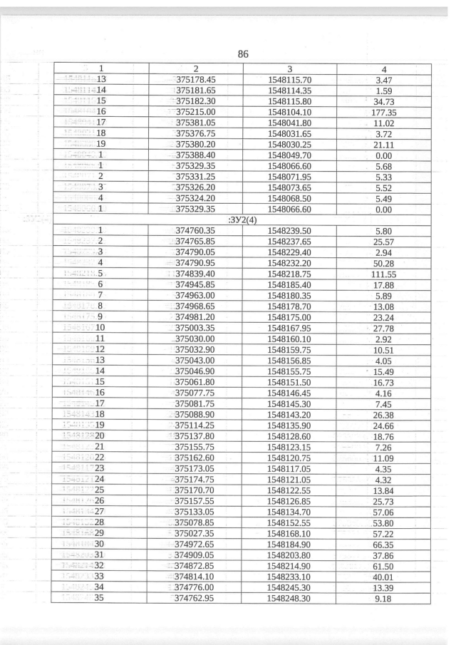
"Об утверждении основной части проекта планировки территории для размещения линейного объекта транспортной инфраструктуры регионального значения "Реконструкция автомобильной дороги г. Арамиль-д. Андреевка (устройство шумозащитных сооружений на участке км 0+000-км 3+000, устройство тротуаров, наружного освещения на участке км 0+000-км 3+200) на территории Арамильского городского округа" и основной части проекта межевания территории для размещения линейного объекта транспортной инфраструктуры регионального значения "Реконструкция автомобильной дороги г. Арамиль-д. Андреевка (устройство шумозащитных сооружений на участке км 0+000-км 3+000, устройство тротуаров, наружного освещения на участке км 0+000-км 3+200) на территории Арамильского городского округа"
(Зарегистрирован 11.05.2023 № 201)
Номер опубликования: 6601202305110002
Дата опубликования: 11.05.2023
Страница №86 из 97:
Увеличить