Официальное опубликование правовых актов
ОФИЦИАЛЬНОЕ ОПУБЛИКОВАНИЕ
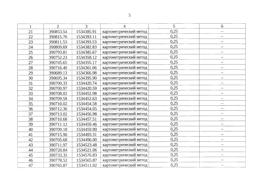
Приказ Управления государственной охраны объектов культурного наследия Свердловской области от 20.04.2023 № 221
"Об установлении зон охраны объекта культурного наследия регионального значения "Дом и больница доктора Сяно" и входящих в его состав объектов культурного наследия регионального значения "Двухэтажный полукаменный лечебный корпус" и "Жилой флигель", расположенных по адресу: Свердловская область, г. Екатеринбург, ул. Карла Либкнехта, д. 2, и утверждении требований к градостроительным регламентам в границах данных зон"
(Зарегистрирован 21.04.2023 № 157)
Номер опубликования: 6601202304250001
Дата опубликования: 25.04.2023
Страница №5 из 12:
Увеличить