Официальное опубликование правовых актов
ОФИЦИАЛЬНОЕ ОПУБЛИКОВАНИЕ
Приказ Министерства финансов Свердловской области от 13.04.2023 № 163
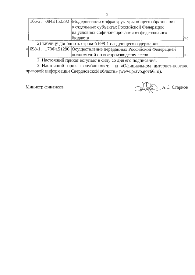
"О внесении изменений в приложение № 1 к Порядку применения бюджетной классификации Российской Федерации в части, относящейся к областному бюджету и бюджету Территориального фонда обязательного медицинского страхования Свердловской области, утвержденному приказом Министерства финансов Свердловской области от 15.12.2022 № 562"
(Зарегистрирован 14.04.2023 № 135)
Номер опубликования: 6601202304180002
Дата опубликования: 18.04.2023
Страница №2 из 2:
Увеличить