Официальное опубликование правовых актов
ОФИЦИАЛЬНОЕ ОПУБЛИКОВАНИЕ
Приказ Управления государственной охраны объектов культурного наследия Свердловской области от 14.03.2023 № 151
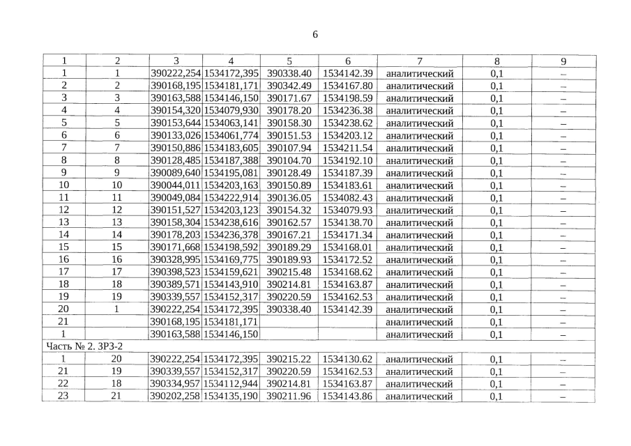
"О внесении изменений в зоны охраны объекта культурного наследия регионального значения "Особняк в стиле позднего классицизма", расположенного по адресу: Свердловская область, г. Екатеринбург, ул. Горького, д. 28, и требования к градостроительным регламентам в границах данных зон, утвержденные приказом Управления государственной охраны объектов культурного наследия Свердловской области от 03.04.2019 № 140"
(Зарегистрирован 15.03.2023 № 17)
Номер опубликования: 6601202303160001
Дата опубликования: 16.03.2023
Страница №6 из 15:
Увеличить