Официальное опубликование правовых актов
ОФИЦИАЛЬНОЕ ОПУБЛИКОВАНИЕ
Приказ Управления государственной охраны объектов культурного наследия Свердловской области от 13.03.2023 № 145
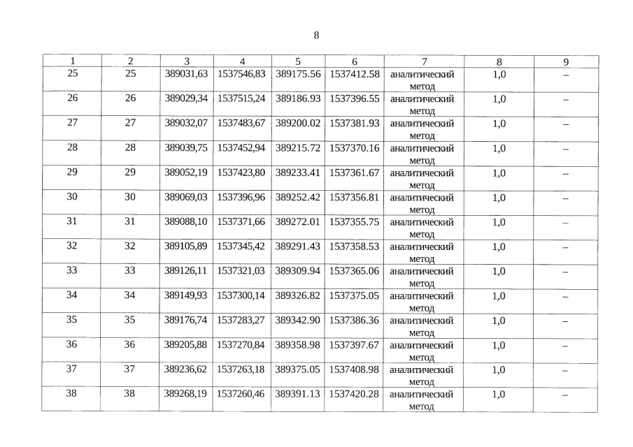
"Об утверждении графического описания местоположения границ защитной зоны объекта культурного наследия регионального значения "Здание павильона механизации Уральского лесотехнического института, где в 1964–1976 гг. работал селекционер-биохимик Л.И. Вигоров", расположенного по адресу: Свердловская область, г. Екатеринбург, Сибирский тракт, д. 37, с перечнем координат характерных точек этих границ в системе координат, установленной для ведения Единого государственного реестра недвижимости, и режима использования земель в границах данной защитной зоны"
(Зарегистрирован 14.03.2023 № 9)
Номер опубликования: 6601202303140008
Дата опубликования: 14.03.2023
Страница №8 из 11:
Увеличить