Официальное опубликование правовых актов
ОФИЦИАЛЬНОЕ ОПУБЛИКОВАНИЕ
Приказ Министерства строительства и развития инфраструктуры Свердловской области от 09.03.2023 № 166-П
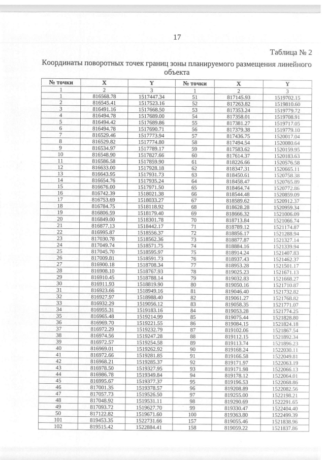
"Об утверждении основной части проекта планировки территории для размещения линейного объекта транспортной инфраструктуры регионального значения "Реконструкция автомобильной дороги г. Серов − г. Североуральск − г. Ивдель на участке км 162+000 – км 169+275 на территории Ивдельского городского округа" и основной части проекта межевания территории для размещения линейного объекта транспортной инфраструктуры регионального значения "Реконструкция автомобильной дороги г. Серов − г. Североуральск − г. Ивдель на участке км 162+000 – км 169+275 на территории Ивдельского городского округа"
(Зарегистрирован 14.03.2023 № 8)
Номер опубликования: 6601202303140004
Дата опубликования: 14.03.2023
Страница №17 из 93:
Увеличить