Официальное опубликование правовых актов
ОФИЦИАЛЬНОЕ ОПУБЛИКОВАНИЕ
Приказ Министерства строительства и развития инфраструктуры Свердловской области от 13.03.2023 № 169-П
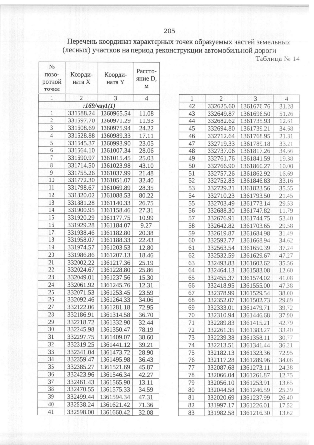
"Об утверждении основной части проекта планировки территории для размещения линейного объекта транспортной инфраструктуры регионального значения "Реконструкция автомобильной дороги д. Усть-Бугалыш – пос. Саргая – пос. Дегтярка – пос. Аяз республики Башкортостан на участке д. Усть-Бугалыш – пос. Саргая – пос. Дегтярка на территории муниципального образования Красноуфимский округ Свердловской области. II этап" и основной части проекта межевания территории для размещения линейного объекта транспортной инфраструктуры регионального значения "Реконструкция автомобильной дороги д. Усть-Бугалыш – пос. Саргая – пос. Дегтярка – пос. Аяз республики Башкортостан на участке д. Усть-Бугалыш – пос. Саргая – пос. Дегтярка на территории муниципального образования Красноуфимский округ Свердловской области. II этап"
(Зарегистрирован 14.03.2023 № 12)
Номер опубликования: 6601202303140002
Дата опубликования: 14.03.2023
Страница №205 из 232:
Увеличить