Официальное опубликование правовых актов
ОФИЦИАЛЬНОЕ ОПУБЛИКОВАНИЕ
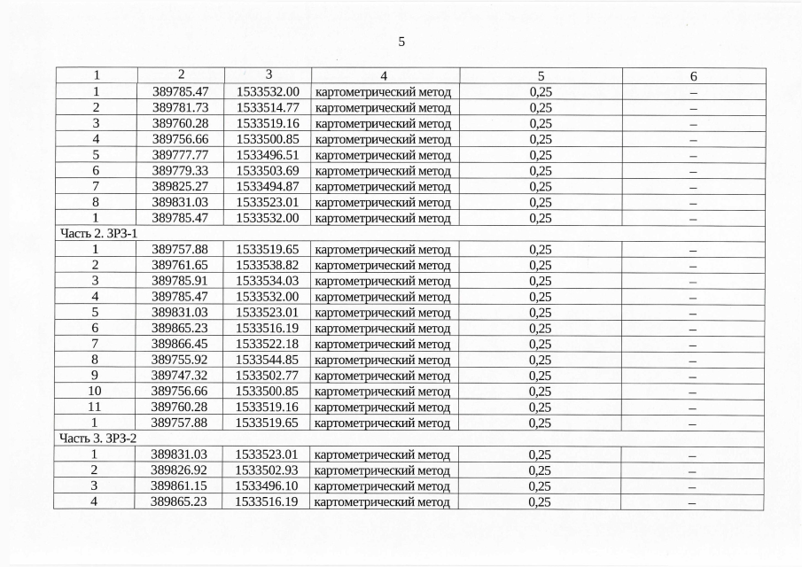
Приказ Управления государственной охраны объектов культурного наследия Свердловской области от 25.01.2023 № 45
"Об установлении зон охраны объекта культурного наследия регионального значения "Доходный дом М.М. Денисова", расположенного по адресу: Свердловская область, г. Екатеринбург, ул. Вайнера, д. 72/ул. Куйбышева, д. 45, и утверждении требований к градостроительным регламентам в границах данных зон"
Номер опубликования: 6601202301270001
Дата опубликования: 27.01.2023
Страница №5 из 13:
Увеличить