Официальное опубликование правовых актов
ОФИЦИАЛЬНОЕ ОПУБЛИКОВАНИЕ
Приказ Министерства здравоохранения Свердловской области от 20.01.2023 № 85-п
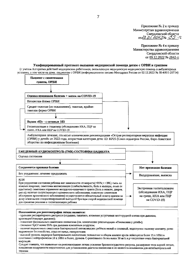
"О внесении изменений в приказ Министерства здравоохранения Свердловской области от 09.12.2022 № 2842-п "О маршрутизации детей с острой респираторной инфекцией, гриппом на территории Свердловской области в эпидемиологический сезон 2022-2023 годов"
Номер опубликования: 6601202301240003
Дата опубликования: 24.01.2023
Страница №7 из 7:
Увеличить