Официальное опубликование правовых актов
ОФИЦИАЛЬНОЕ ОПУБЛИКОВАНИЕ
Приказ Управления государственной охраны объектов культурного наследия Свердловской области от 11.01.2023 № 9
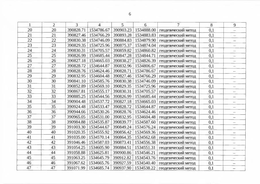
"О внесении изменений в приказ Управления государственной охраны объектов культурного наследия Свердловской области от 16.10.2020 № 892 "Об утверждении графического описания местоположения границ защитной зоны объекта культурного наследия федерального значения "Здание гостиницы "Большой Урал", расположенного по адресу: Свердловская область, г. Екатеринбург, ул. Красноармейская, д. 1, с перечнем координат характерных точек этих границ в системе координат, установленной для ведения Единого государственного реестра недвижимости, и режима использования земель в границах данной защитной зоны"
Номер опубликования: 6601202301130004
Дата опубликования: 13.01.2023
Страница №6 из 8:
Увеличить