Официальное опубликование правовых актов
ОФИЦИАЛЬНОЕ ОПУБЛИКОВАНИЕ
Приказ Министерства строительства и развития инфраструктуры Свердловской области от 29.12.2022 № 677-п
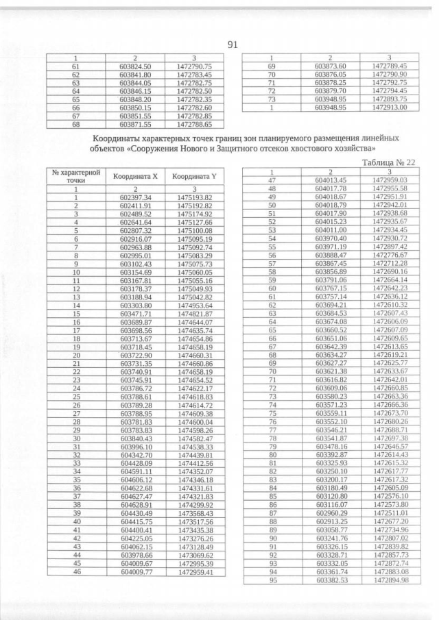
"Об утверждении основной части проекта планировки территории для объекта регионального значения АО "ЕВРАЗ КГОК", расположенного в границах Качканарского городского округа и городского округа "Город Лесной" Свердловской области, по титулу: "Развитие сооружений хвостового хозяйства ЕВРАЗ КГОК"
Номер опубликования: 6601202301100022
Дата опубликования: 10.01.2023
Страница №91 из 140:
Увеличить