Официальное опубликование правовых актов
ОФИЦИАЛЬНОЕ ОПУБЛИКОВАНИЕ
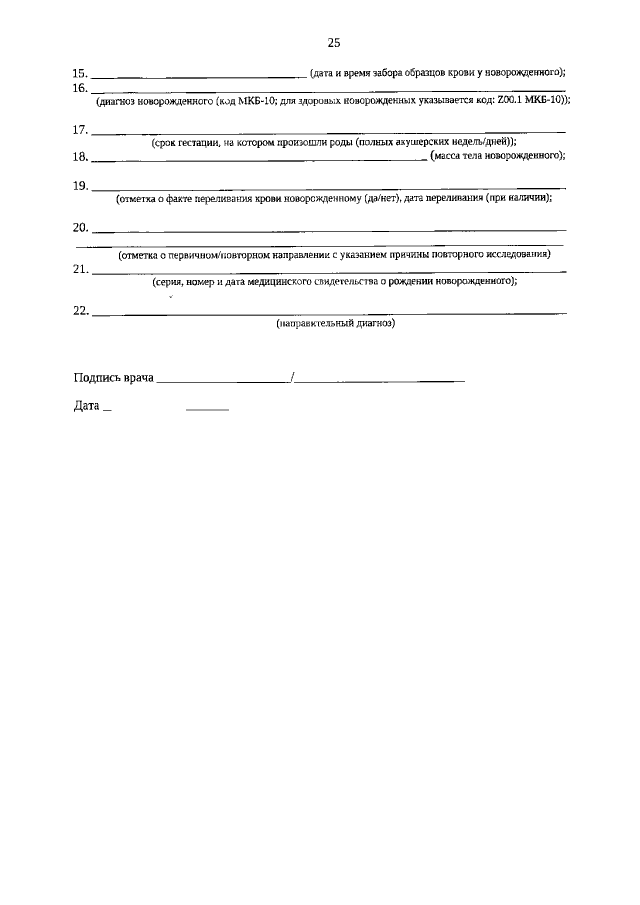
Приказ Министерства здравоохранения Свердловской области от 28.12.2022 № 3003-п
"О совершенствовании массового обследования новорожденных детей на врожденные и (или) наследственные заболевания на территории Свердловской области"
Номер опубликования: 6601202301100004
Дата опубликования: 10.01.2023
Страница №25 из 28:
Увеличить