Официальное опубликование правовых актов
ОФИЦИАЛЬНОЕ ОПУБЛИКОВАНИЕ
Приказ Министерства строительства и развития инфраструктуры Свердловской области от 15.12.2022 № 612-п
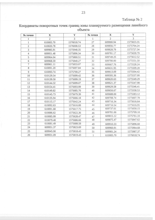
"Об утверждении основной части проекта планировки территории для размещения линейного объекта транспортной инфраструктуры регионального значения "Строительство автомобильной дороги "Подъезд к д. Бочкарёва от км 0+175 а/д "с. Усть-Салда – д. Бочкарёва" на территории городского округа Верхотурский" и основной части проекта межевания территории для размещения линейного объекта транспортной инфраструктуры регионального значения "Строительство автомобильной дороги "Подъезд к д. Бочкарёва от км 0+175 а/д "с. Усть-Салда – д. Бочкарёва" на территории городского округа Верхотурский"
Номер опубликования: 6601202212200008
Дата опубликования: 20.12.2022
Страница №23 из 76:
Увеличить