Официальное опубликование правовых актов
ОФИЦИАЛЬНОЕ ОПУБЛИКОВАНИЕ
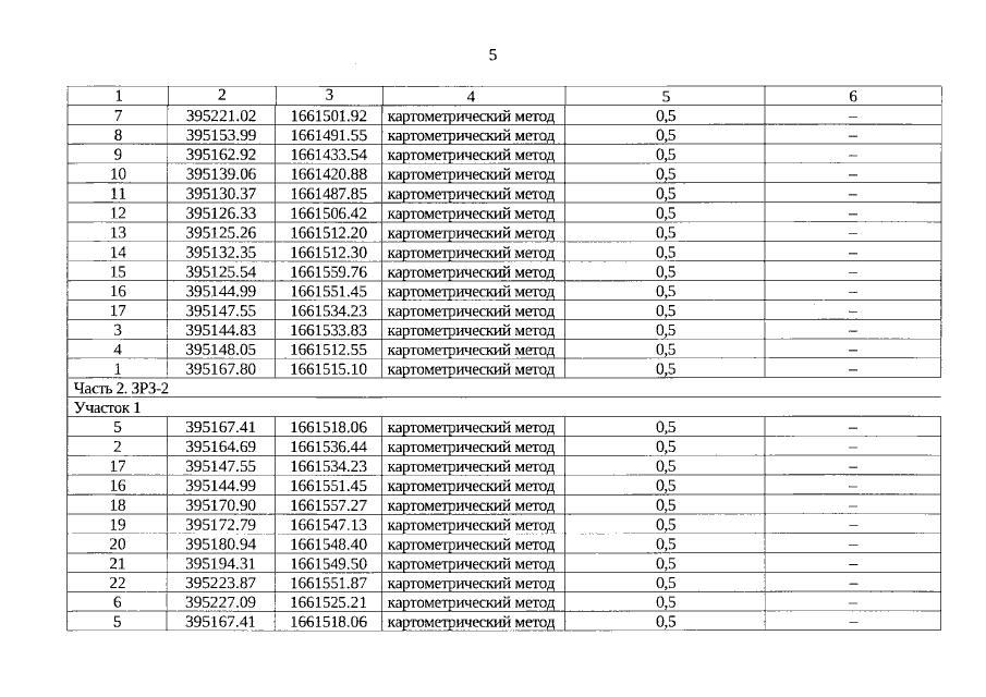
Приказ Управления государственной охраны объектов культурного наследия Свердловской области от 16.12.2022 № 998
"Об установлении зон охраны объекта культурного наследия регионального значения "Особняк", расположенного по адресу: Свердловская область, г. Камышлов, ул. Свердлова, д. 31а, и утверждении требований к градостроительным регламентам в границах данных зон"
Номер опубликования: 6601202212200001
Дата опубликования: 20.12.2022
Страница №5 из 14:
Увеличить