Официальное опубликование правовых актов
ОФИЦИАЛЬНОЕ ОПУБЛИКОВАНИЕ
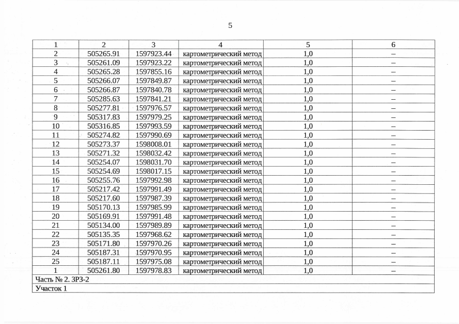
Приказ Управления государственной охраны объектов культурного наследия Свердловской области от 25.11.2022 № 902
"Об установлении зон охраны объекта культурного наследия регионального значения "Здание ремесленного училища", расположенного по адресу: Свердловская область, г. Алапаевск, ул. Павлова, д. 41, и утверждении требований к градостроительным регламентам в границах данных зон"
Номер опубликования: 6601202211300004
Дата опубликования: 30.11.2022
Страница №5 из 15:
Увеличить