Официальное опубликование правовых актов
ОФИЦИАЛЬНОЕ ОПУБЛИКОВАНИЕ
Приказ Министерства строительства и развития инфраструктуры Свердловской области от 18.11.2022 № 539-п
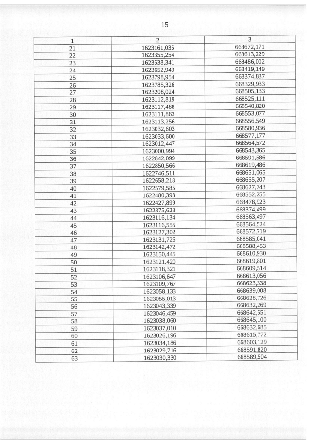
"Об утверждении основной части проекта планировки территории для размещения линейного объекта транспортной инфраструктуры регионального значения "Строительство мостового перехода через р. Сосьву на км 137+021 автомобильной дороги г. Серов – р.п. Сосьва – р.п. Гари на территории Гаринского городского округа" и основной части проекта межевания территории для размещения линейного объекта транспортной инфраструктуры регионального значения "Строительство мостового перехода через р. Сосьву на км 137+021 автомобильной дороги г. Серов – р.п. Сосьва – р.п. Гари на территории Гаринского городского округа"
Номер опубликования: 6601202211230022
Дата опубликования: 23.11.2022
Страница №15 из 51:
Увеличить