Официальное опубликование правовых актов
ОФИЦИАЛЬНОЕ ОПУБЛИКОВАНИЕ
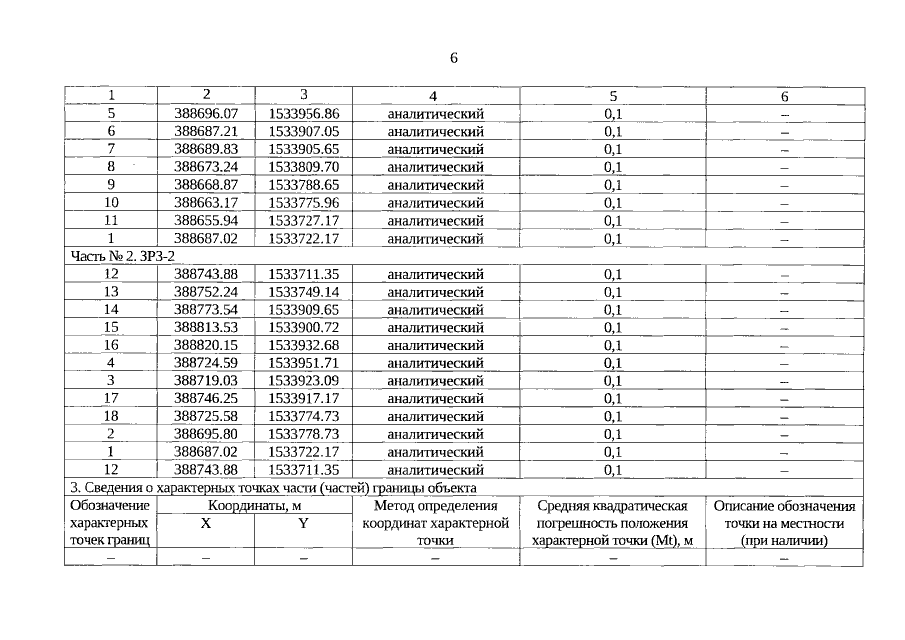
Приказ Управления государственной охраны объектов культурного наследия Свердловской области от 10.11.2022 № 871
"Об установлении зон охраны объекта культурного наследия регионального значения "Комплекс брусковых коттеджей", расположенного по адресу: Свердловская область, г. Екатеринбург, ул. Большакова, и входящих в его состав объектов культурного наследия регионального значения "Дом жилой", расположенного по адресу: Свердловская область, г. Екатеринбург, ул. Большакова, д. 82, "Дом жилой" и "Дом жилой", расположенных по адресу: Свердловская область, г. Екатеринбург, ул. Большакова, д. 84, и "Дом жилой", расположенного по адресу: Свердловская область, г. Екатеринбург, ул. Большакова, д. 86, и утверждении требований к градостроительным регламентам в границах данных зон"
Номер опубликования: 6601202211110002
Дата опубликования: 11.11.2022
Страница №6 из 12:
Увеличить