Официальное опубликование правовых актов
ОФИЦИАЛЬНОЕ ОПУБЛИКОВАНИЕ
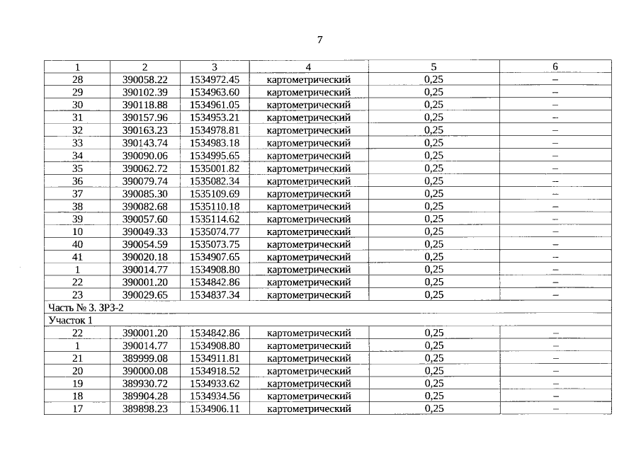
Приказ Управления государственной охраны объектов культурного наследия Свердловской области от 10.11.2022 № 870
"Об установлении зон охраны объекта культурного наследия регионального значения "Комплекс жилых зданий", расположенного по адресу: Свердловская область, г. Екатеринбург, ул. Куйбышева, д. 48, и входящих в его состав объектов культурного наследия регионального значения "Жилой дом с магазинами", расположенного по адресу: Свердловская область, г. Екатеринбург, ул. Куйбышева, д. 48-А, "Жилой дом", расположенного по адресу: Свердловская область, г. Екатеринбург, ул. Куйбышева, д. 48-Б, и "Жилой дом", расположенного по адресу: Свердловская область, г. Екатеринбург, ул. Куйбышева, д. 48-В, и утверждении требований к градостроительным регламентам в границах данных зон"
Номер опубликования: 6601202211110001
Дата опубликования: 11.11.2022
Страница №7 из 13:
Увеличить