Официальное опубликование правовых актов
ОФИЦИАЛЬНОЕ ОПУБЛИКОВАНИЕ
Приказ Министерства строительства и развития инфраструктуры Свердловской области от 27.10.2022 № 513-П
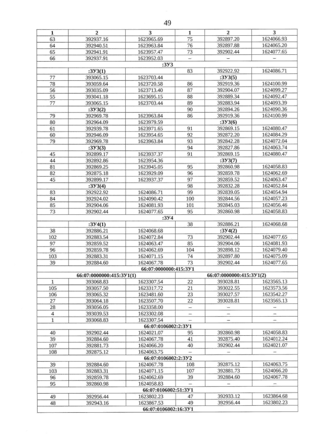
"Об утверждении основной части проекта планировки территории для размещения линейного объекта транспортной инфраструктуры регионального значения "Реконструкция автомобильной дороги "Подъезд к д. Кондратьева от км 6+610 а/д "г. Богданович – д. Кашина – г. Сухой Лог" на территории городского округа Богданович" и основной части проекта межевания территории для размещения линейного объекта транспортной инфраструктуры регионального значения "Реконструкция автомобильной дороги "Подъезд к д. Кондратьева от км 6+610 а/д "г. Богданович – д. Кашина – г. Сухой Лог" на территории городского округа Богданович"
Номер опубликования: 6601202210310006
Дата опубликования: 31.10.2022
Страница №49 из 56:
Увеличить