Официальное опубликование правовых актов
ОФИЦИАЛЬНОЕ ОПУБЛИКОВАНИЕ
Приказ Управления государственной охраны объектов культурного наследия Свердловской области от 14.10.2022 № 802
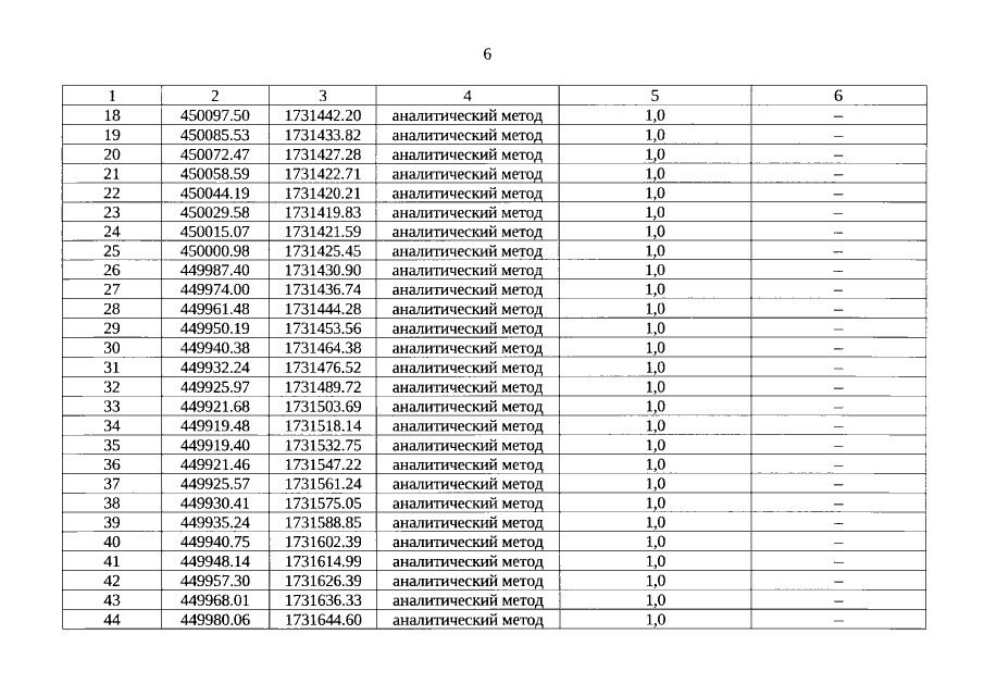
"Об утверждении графического описания местоположения границ защитной зоны объекта культурного наследия регионального значения "Деревянная часовня", расположенного по адресу: Свердловская область, Байкаловский район, д. Занина, с перечнем координат характерных точек этих границ в системе координат, установленной для ведения Единого государственного реестра недвижимости, и режима использования земель в границах данной защитной зоны"
Номер опубликования: 6601202210170006
Дата опубликования: 17.10.2022
Страница №6 из 9:
Увеличить