Официальное опубликование правовых актов
ОФИЦИАЛЬНОЕ ОПУБЛИКОВАНИЕ
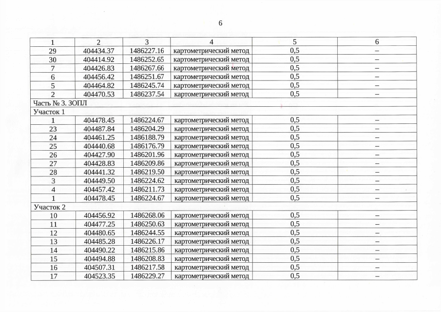
Приказ Управления государственной охраны объектов культурного наследия Свердловской области от 13.10.2022 № 778
"Об установлении зон охраны объекта культурного наследия регионального значения "Пильная мельница", расположенного по адресу: Свердловская область, г. Первоуральск, п. Билимбай, ул. Карла Маркса, и утверждении требований к градостроительным регламентам в границах данных зон"
Номер опубликования: 6601202210140002
Дата опубликования: 14.10.2022
Страница №6 из 13:
Увеличить