Официальное опубликование правовых актов
ОФИЦИАЛЬНОЕ ОПУБЛИКОВАНИЕ
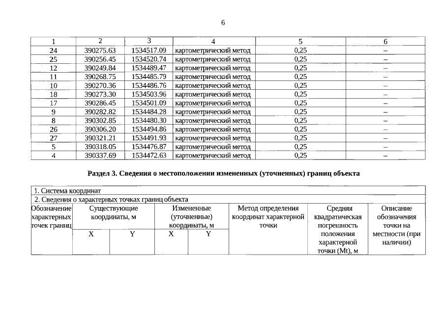
Приказ Управления государственной охраны объектов культурного наследия Свердловской области от 05.10.2022 № 754
"Об установлении зон охраны объекта культурного наследия регионального значения "Дом, в котором размещались первые из Уральских профсоюзов – Союз металлургов и Союз деревоотделочников", расположенного по адресу: Свердловская область, г. Екатеринбург, ул. Розы Люксембург, д. 27, и утверждении требований к градостроительным регламентам в границах данных зон"
Номер опубликования: 6601202210070002
Дата опубликования: 07.10.2022
Страница №6 из 12:
Увеличить