Официальное опубликование правовых актов
ОФИЦИАЛЬНОЕ ОПУБЛИКОВАНИЕ
Приказ Министерства строительства и развития инфраструктуры Свердловской области от 26.09.2022 № 436-П
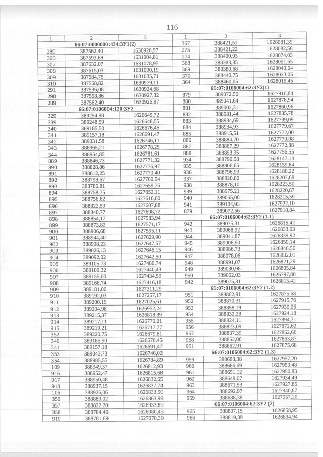
"Об утверждении основной части проекта планировки территории для размещения линейного объекта транспортной инфраструктуры регионального значения "Строительство автомобильной дороги "Подъезд к п. Дубровный от автодороги "г. Богданович – д. Кашина – г. Сухой Лог" на территории городского округа Богданович" и основной части проекта межевания территории для размещения линейного объекта транспортной инфраструктуры регионального значения "Строительство автомобильной дороги "Подъезд к п. Дубровный от автодороги "г. Богданович – д. Кашина – г. Сухой Лог" на территории городского округа Богданович"
Номер опубликования: 6601202209290002
Дата опубликования: 29.09.2022
Страница №116 из 140:
Увеличить