Официальное опубликование правовых актов
ОФИЦИАЛЬНОЕ ОПУБЛИКОВАНИЕ
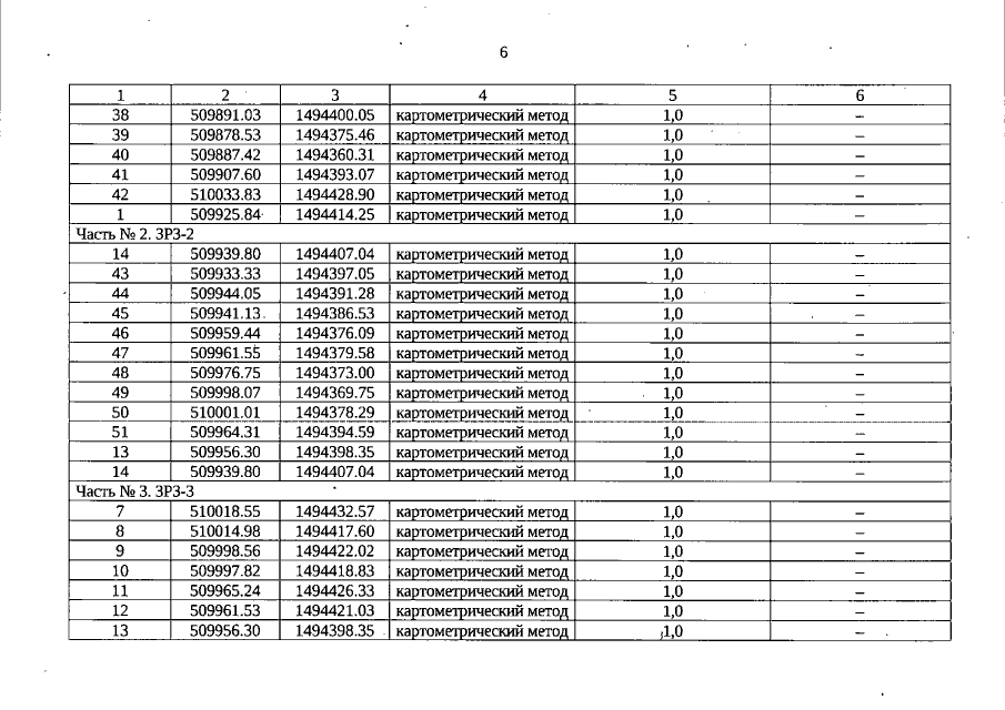
Приказ Управления государственной охраны объектов культурного наследия Свердловской области от 13.09.2022 № 654
"Об установлении зон охраны объекта культурного наследия регионального значения "Магазин Мозгунова", расположенного по адресу: Свердловская область, г. Нижний Тагил, пр. Ленина/ ул. Огаркова, д. 5, и утверждении требований к градостроительным регламентам в границах данных зон"
Номер опубликования: 6601202209150005
Дата опубликования: 15.09.2022
Страница №6 из 15:
Увеличить