Официальное опубликование правовых актов
ОФИЦИАЛЬНОЕ ОПУБЛИКОВАНИЕ
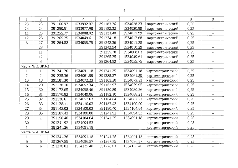
Приказ Управления государственной охраны объектов культурного наследия Свердловской области от 13.09.2022 № 653
"О внесении изменений в зоны охраны объекта культурного наследия регионального значения "Здание бывшей почты, где останавливались декабристы на пути из Сибири", расположенного по адресу: Свердловская область, г. Екатеринбург, ул. Пушкина, д. 19, установленные приказом Управления государственной охраны объектов культурного наследия Свердловской области от 04.06.2021 № 155"
Номер опубликования: 6601202209150003
Дата опубликования: 15.09.2022
Страница №4 из 6:
Увеличить