Официальное опубликование правовых актов
ОФИЦИАЛЬНОЕ ОПУБЛИКОВАНИЕ
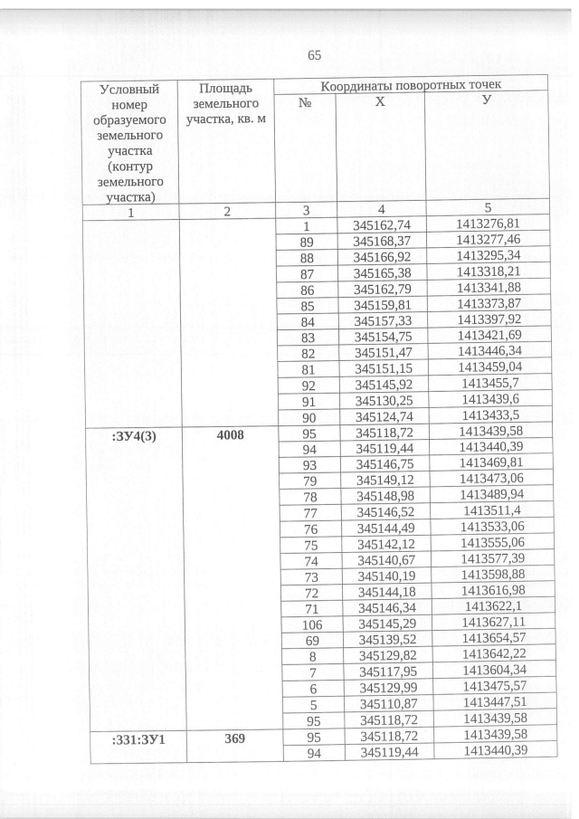
Приказ Министерства строительства и развития инфраструктуры Свердловской области от 16.08.2022 № 388-П
"Об утверждении основной части проекта планировки территории для размещения линейного объекта транспортной инфраструктуры регионального значения "Реконструкция автомобильной дороги с. Пристань – п. Усть-Югуш на участке км 7+300 – км 8+360 на территории Артинского городского округа" и основной части проекта межевания территории для размещения линейного объекта транспортной инфраструктуры регионального значения "Реконструкция автомобильной дороги с. Пристань – п. Усть-Югуш на участке км 7+300 – км 8+360 на территории Артинского городского округа"
Номер опубликования: 6601202208180005
Дата опубликования: 18.08.2022
Страница №65 из 79:
Увеличить