Официальное опубликование правовых актов
ОФИЦИАЛЬНОЕ ОПУБЛИКОВАНИЕ
Приказ Управления государственной охраны объектов культурного наследия Свердловской области от 21.07.2022 № 491
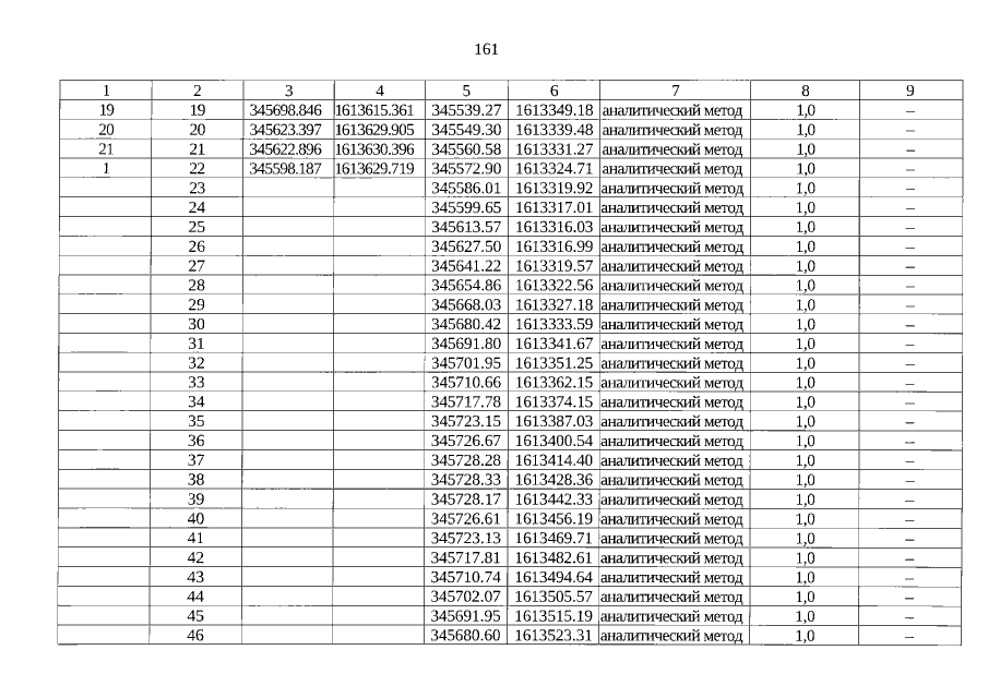
"О внесении изменений в приказ Управления государственной охраны объектов культурного наследия Свердловской области от 15.02.2019 № 39 "Об утверждении графического описания местоположения границ защитных зон объектов культурного наследия регионального значения, расположенных в г. Каменск-Уральский, с перечнем координат характерных точек этих границ в системе координат, установленной для ведения Единого государственного реестра недвижимости, и режимов использования земель в границах данных защитных зон"
Номер опубликования: 6601202207250001
Дата опубликования: 25.07.2022
Страница №161 из 194:
Увеличить