Официальное опубликование правовых актов
ОФИЦИАЛЬНОЕ ОПУБЛИКОВАНИЕ
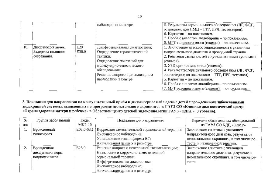
Приказ Министерства здравоохранения Свердловской области от 06.07.2022 № 1505-п
"О совершенствовании организации медицинской помощи по профилю "детская эндокринология" на территории Свердловской области"
Номер опубликования: 6601202207110004
Дата опубликования: 11.07.2022
Страница №16 из 28:
Увеличить