Официальное опубликование правовых актов
ОФИЦИАЛЬНОЕ ОПУБЛИКОВАНИЕ
Приказ Управления записи актов гражданского состояния Свердловской области от 27.06.2022 № 125
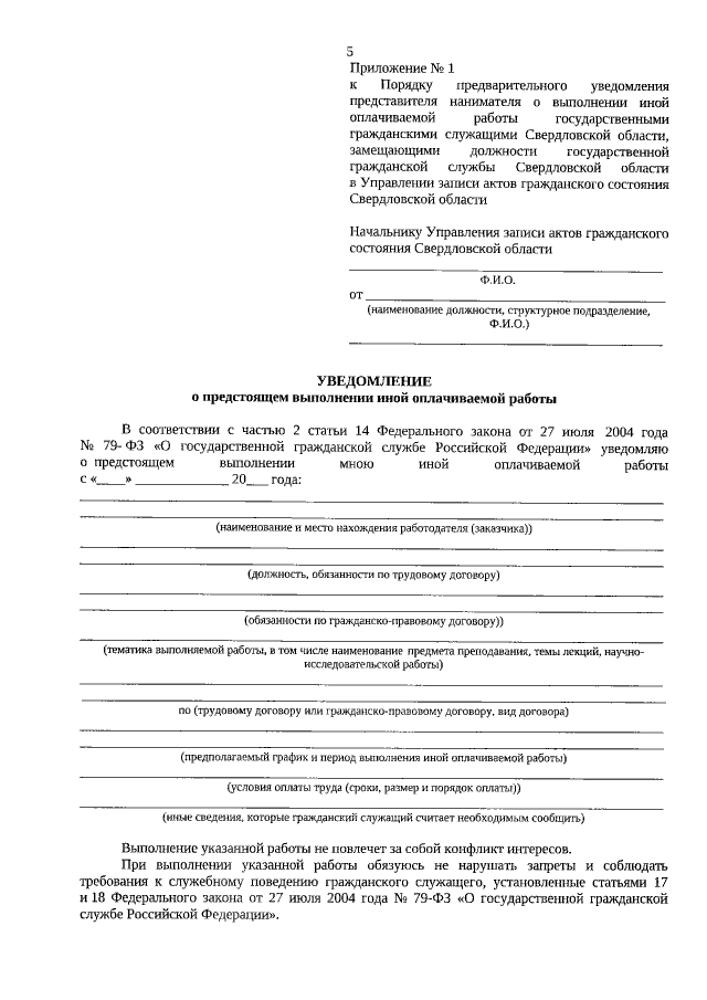
"Об утверждении Порядка предварительного уведомления представителя нанимателя о выполнении иной оплачиваемой работы государственными гражданскими служащими Свердловской области, замещающими должности государственной гражданской службы Свердловской области в Управлении записи актов гражданского состояния Свердловской области"
Номер опубликования: 6601202207010003
Дата опубликования: 01.07.2022
Страница №5 из 7:
Увеличить