Официальное опубликование правовых актов
ОФИЦИАЛЬНОЕ ОПУБЛИКОВАНИЕ
Приказ Министерства строительства и развития инфраструктуры Свердловской области от 28.04.2022 № 232-П
"Об утверждении основной части проекта планировки территории для размещения линейного объекта транспортной инфраструктуры регионального значения "Реконструкция автомобильной дороги Южный подъезд к г. Нижний Тагил от км 120+085 автомобильной дороги г. Екатеринбург – г. Нижний Тагил – г. Серов (устройство тротуаров на участке км 10+700 – км 15+100) на территории города Нижний Тагил" и основной части проекта межевания территории для размещения линейного объекта транспортной инфраструктуры регионального значения "Реконструкция автомобильной дороги Южный подъезд к г. Нижний Тагил от км 120+085 автомобильной дороги г. Екатеринбург – г. Нижний Тагил – г. Серов (устройство тротуаров на участке км 10+700 – км 15+100) на территории города Нижний Тагил"
Номер опубликования: 6601202205040001
Дата опубликования: 04.05.2022
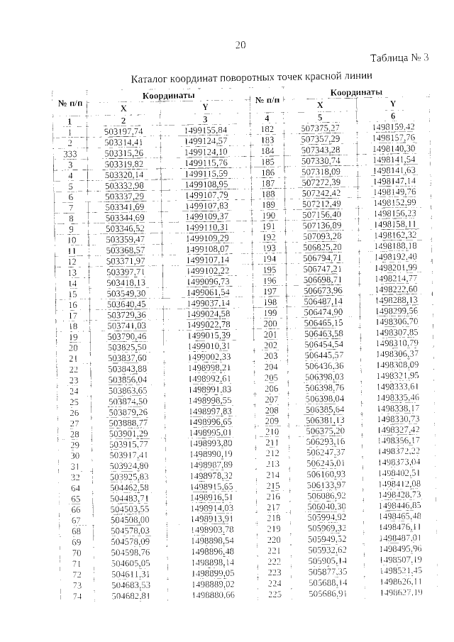
Страница №20 из 136:
Увеличить