Официальное опубликование правовых актов
ОФИЦИАЛЬНОЕ ОПУБЛИКОВАНИЕ
Приказ Управления государственной охраны объектов культурного наследия Свердловской области от 28.04.2022 № 231
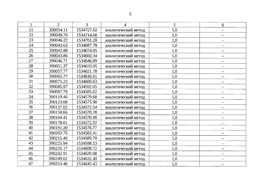
"Об утверждении графического описания местоположения границ защитной зоны объекта культурного наследия регионального значения "Дом А.Д. Андреевой", расположенного по адресу: Свердловская область, г. Екатеринбург, ул. Белинского, д. 59, с перечнем координат характерных точек этих границ в системе координат, установленной для ведения Единого государственного реестра недвижимости, и режима использования земель в границах данной защитной зоны"
Номер опубликования: 6601202204290005
Дата опубликования: 29.04.2022
Страница №5 из 8:
Увеличить