Официальное опубликование правовых актов
ОФИЦИАЛЬНОЕ ОПУБЛИКОВАНИЕ
Приказ Министерства энергетики и жилищно-коммунального хозяйства Свердловской области от 27.04.2022 № 212
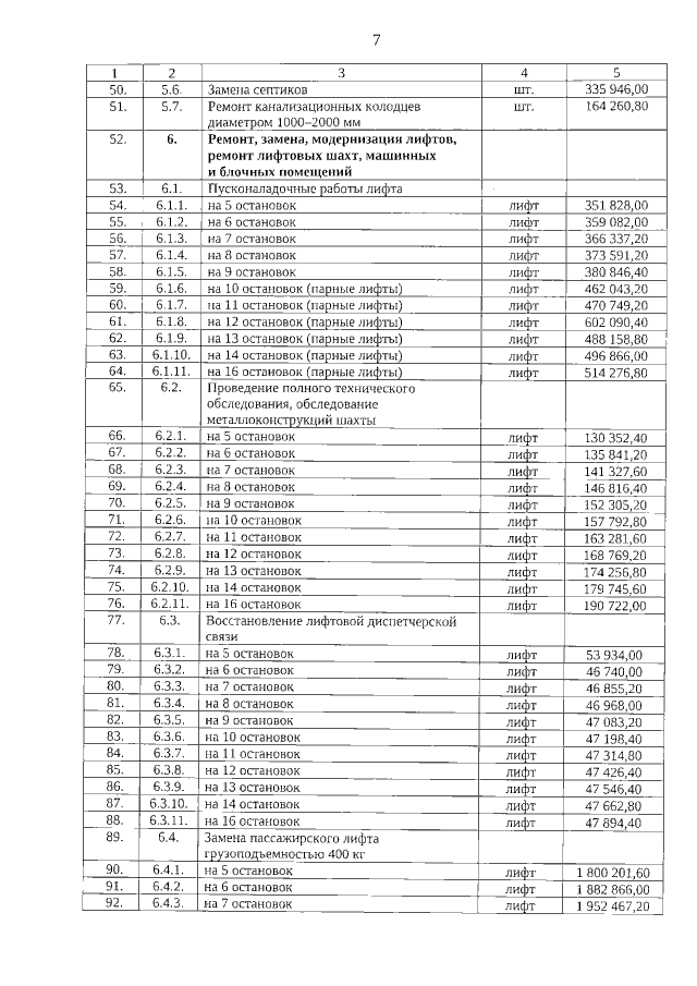
"Об определении размера предельной стоимости услуг и (или) работ по капитальному ремонту общего имущества в многоквартирном доме, а также в многоквартирном доме, отнесенном к объектам культурного наследия (памятникам истории и культуры) народов Российской Федерации, которая может оплачиваться региональным оператором за счет средств фонда капитального ремонта, сформированного исходя из минимального размера взноса на капитальный ремонт, на 2022 год"
Номер опубликования: 6601202204290002
Дата опубликования: 29.04.2022
Страница №7 из 13:
Увеличить