Официальное опубликование правовых актов
ОФИЦИАЛЬНОЕ ОПУБЛИКОВАНИЕ
Приказ Управления государственной охраны объектов культурного наследия Свердловской области от 18.03.2022 № 125
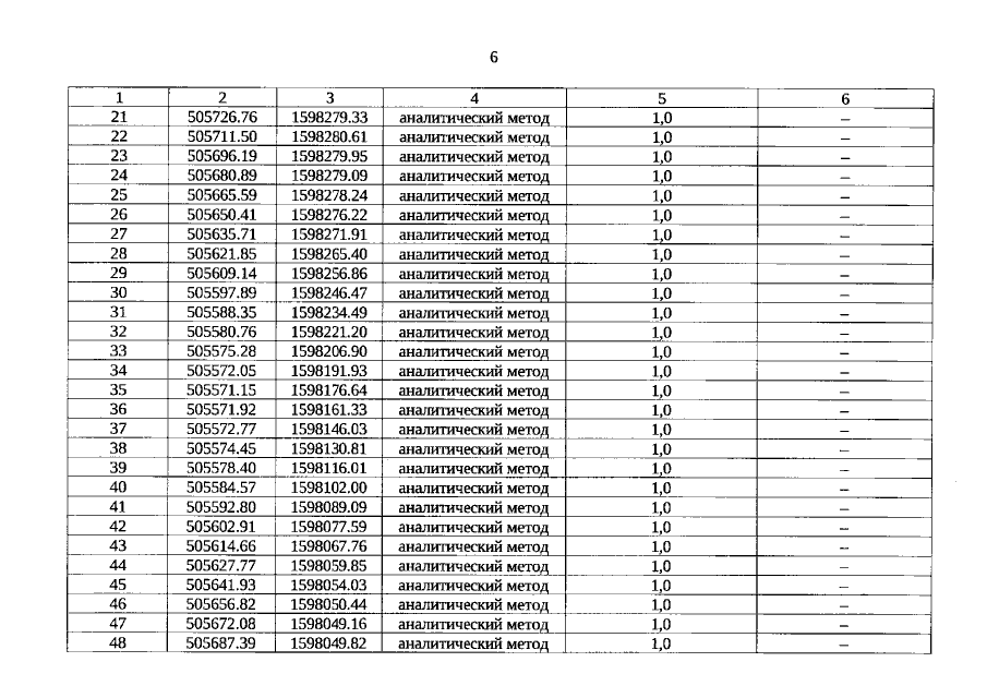
"Об утверждении графического описания местоположения границ защитной зоны объекта культурного наследия регионального значения "Здание бывшего управления горного округа", расположенного по адресу: Свердловская область, г. Алапаевск, ул. Ленина, д. 33, с перечнем координат характерных точек этих границ в системе координат, установленной для ведения Единого государственного реестра недвижимости, и режима использования земель в границах данной защитной зоны"
Номер опубликования: 6601202203210002
Дата опубликования: 21.03.2022
Страница №6 из 9:
Увеличить