Официальное опубликование правовых актов
ОФИЦИАЛЬНОЕ ОПУБЛИКОВАНИЕ
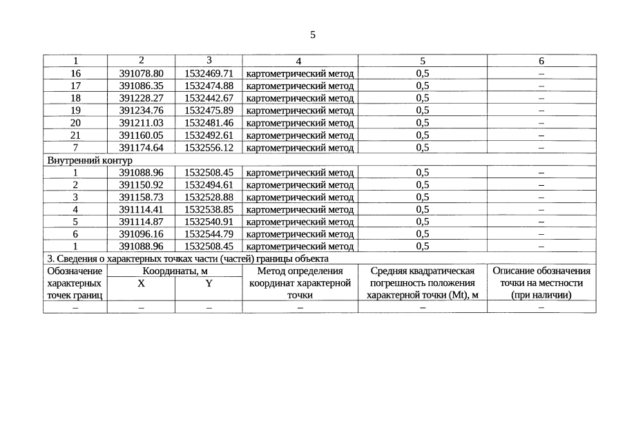
Приказ Управления государственной охраны объектов культурного наследия Свердловской области от 09.03.2022 № 110
"Об установлении зон охраны объекта культурного наследия регионального значения "Комплекс зданий общества "Красного Креста" и входящих в его состав объектов культурного наследия регионального значения "Здание общества" и "Здание лабораторий", расположенных по адресу: Свердловская область, г. Екатеринбург, ул. Московская, д. 19, и утверждении требований к градостроительным регламентам в границах данных зон"
Номер опубликования: 6601202203100003
Дата опубликования: 10.03.2022
Страница №5 из 10:
Увеличить