Официальное опубликование правовых актов
ОФИЦИАЛЬНОЕ ОПУБЛИКОВАНИЕ
Приказ Министерства строительства и развития инфраструктуры Свердловской области от 30.12.2021 № 745-П
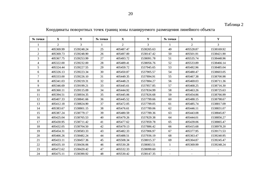
"Об утверждении основной части проекта планировки территории для размещения линейного объекта транспортной инфраструктуры регионального значения "Реконструкции автомобильной дороги г. Верхняя Пышма – п. Садовый со строительством обхода п. Садовый на территории муниципального образования "город Екатеринбург" и городского округа Верхняя Пышма" и основной части проекта межевания территории для размещения линейного объекта транспортной инфраструктуры регионального значения "Реконструкции автомобильной дороги г. Верхняя Пышма – п. Садовый со строительством обхода п. Садовый на территории муниципального образования "город Екатеринбург" и городского округа Верхняя Пышма"
Номер опубликования: 6601202112310002
Дата опубликования: 31.12.2021
Страница №20 из 98:
Увеличить