Официальное опубликование правовых актов
ОФИЦИАЛЬНОЕ ОПУБЛИКОВАНИЕ
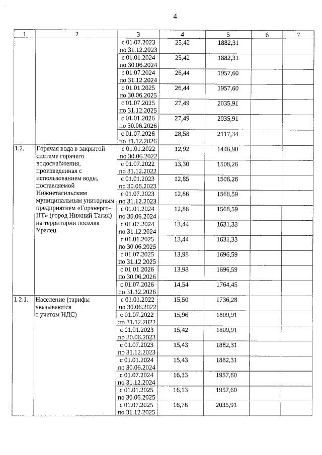
Постановление Региональной энергетической комиссии Свердловской области от 14.12.2021 № 223-ПК
"Об установлении тарифов на горячую воду в закрытых системах горячего водоснабжения, поставляемую организациями Свердловской области, с использованием метода индексации на основе долгосрочных параметров регулирования тарифов на 2022–2026 годы"
Номер опубликования: 6601202112200007
Дата опубликования: 20.12.2021
Страница №4 из 9:
Увеличить