Официальное опубликование правовых актов
ОФИЦИАЛЬНОЕ ОПУБЛИКОВАНИЕ
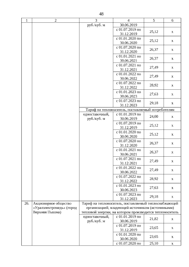
Постановление Региональной энергетической комиссии Свердловской области от 09.12.2021 № 214-ПК
"О внесении изменений в отдельные постановления Региональной энергетической комиссии Свердловской области об установлении тарифов на теплоноситель"
Номер опубликования: 6601202112170004
Дата опубликования: 17.12.2021
Страница №48 из 161:
Увеличить