Официальное опубликование правовых актов
ОФИЦИАЛЬНОЕ ОПУБЛИКОВАНИЕ
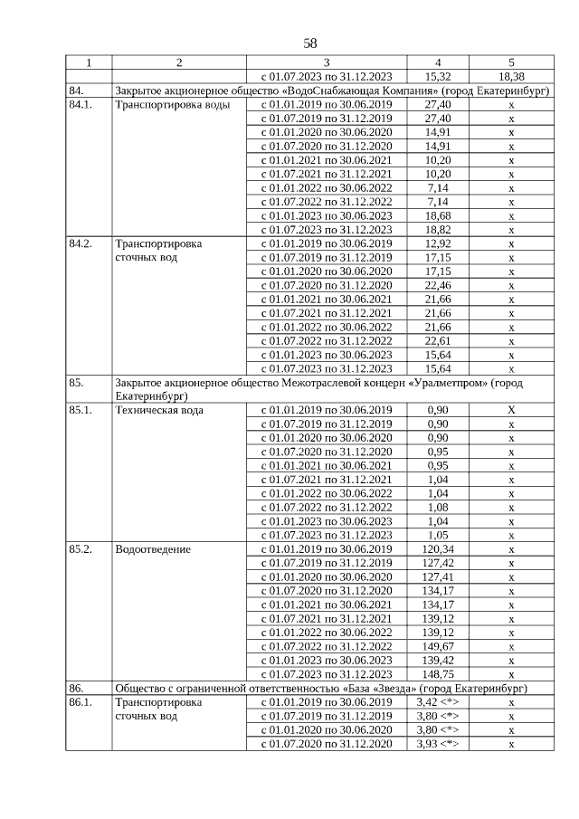
Постановление Региональной энергетической комиссии Свердловской области от 09.12.2021 № 213-ПК
"О внесении изменений в отдельные постановления Региональной энергетической комиссии Свердловской области об установлении тарифов в сфере водоснабжения и (или) водоотведения организациям водопроводно-канализационного хозяйства Свердловской области"
Номер опубликования: 6601202112170002
Дата опубликования: 17.12.2021
Страница №58 из 131:
Увеличить