Приказ Управления государственной охраны объектов культурного наследия Свердловской области от 26.11.2021 № 432
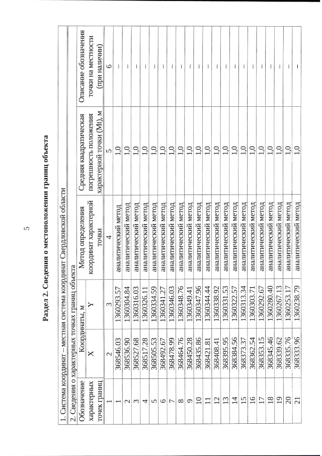
"Об утверждении графического описания местоположения границ защитной зоны объекта культурного наследия регионального значения "Доходный дом К.А. Шевелина", расположенного по адресу: Свердловская область, г. Красноуфимск, ул. Рогозинниковых, д. 35, с перечнем координат характерных точек этих границ в системе координат, установленной для ведения Единого государственного реестра недвижимости, и режима использования земель в границах данной защитной зоны"
"Об утверждении графического описания местоположения границ защитной зоны объекта культурного наследия регионального значения "Доходный дом К.А. Шевелина", расположенного по адресу: Свердловская область, г. Красноуфимск, ул. Рогозинниковых, д. 35, с перечнем координат характерных точек этих границ в системе координат, установленной для ведения Единого государственного реестра недвижимости, и режима использования земель в границах данной защитной зоны"
Номер опубликования: 6601202112010008
Дата опубликования:
01.12.2021
