Официальное опубликование правовых актов
ОФИЦИАЛЬНОЕ ОПУБЛИКОВАНИЕ
Приказ Управления государственной охраны объектов культурного наследия Свердловской области от 26.11.2021 № 434
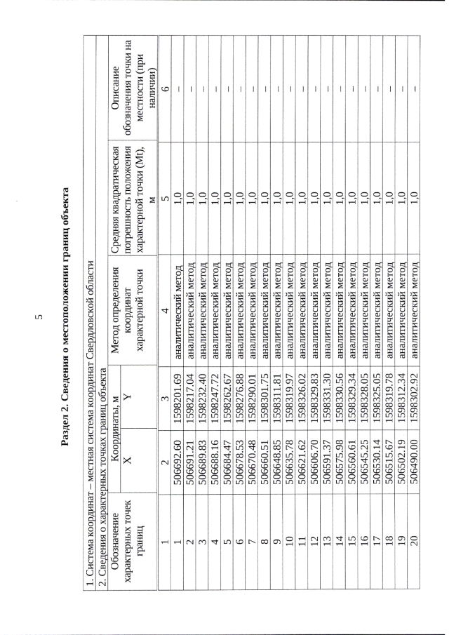
"Об утверждении графического описания местоположения границ защитной зоны объекта культурного наследия регионального значения "Здание земской школы", расположенного по адресу: Свердловская область, г. Алапаевск, ул. Перминова, д. 58, с перечнем координат характерных точек этих границ в системе координат, установленной для ведения Единого государственного реестра недвижимости, и режима использования земель в границах данной защитной зоны"
Номер опубликования: 6601202112010002
Дата опубликования: 01.12.2021
Страница №5 из 9:
Увеличить