Приказ Управления государственной охраны объектов культурного наследия Свердловской области от 26.11.2021 № 429
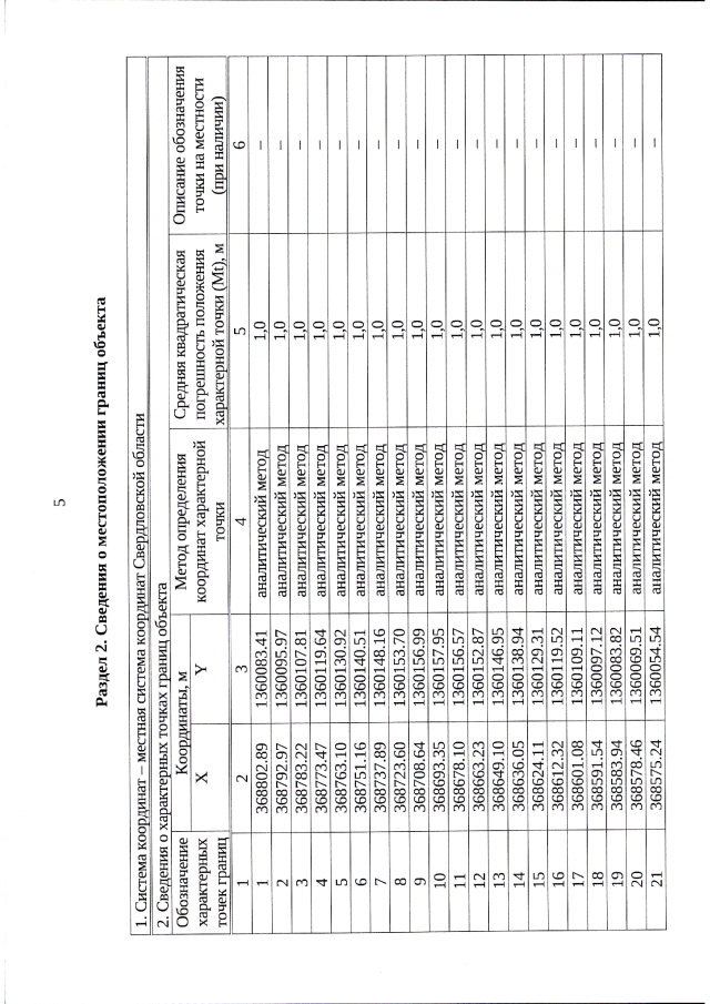
"Об утверждении графического описания местоположения границ защитной зоны объекта культурного наследия регионального значения "Корпус винокуренного завода", расположенного по адресу: Свердловская область, г. Красноуфимск, ул. Мизерова, д. 66, с перечнем координат характерных точек этих границ в системе координат, установленной для ведения Единого государственного реестра недвижимости, и режима использования земель в границах данной защитной зоны"
"Об утверждении графического описания местоположения границ защитной зоны объекта культурного наследия регионального значения "Корпус винокуренного завода", расположенного по адресу: Свердловская область, г. Красноуфимск, ул. Мизерова, д. 66, с перечнем координат характерных точек этих границ в системе координат, установленной для ведения Единого государственного реестра недвижимости, и режима использования земель в границах данной защитной зоны"
Номер опубликования: 6601202112010001
Дата опубликования:
01.12.2021
