Официальное опубликование правовых актов
ОФИЦИАЛЬНОЕ ОПУБЛИКОВАНИЕ
Приказ Министерства строительства и развития инфраструктуры Свердловской области от 04.10.2021 № 561-П
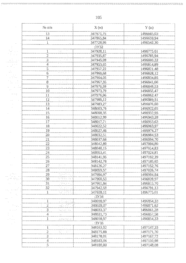
"Об утверждении основной части проекта планировки территории для размещения линейного объекта транспортной инфраструктуры регионального значения "Строительство автомобильной дороги п. Зюзельский – п. Большая Лавровка, участок км 9+100 – п. Большая Лавровка на территории Полевского городского округа и городского округа Ревда" и основной части проекта межевания территории для размещения линейного объекта транспортной инфраструктуры регионального значения "Строительство автомобильной дороги п. Зюзельский – п. Большая Лавровка, участок км 9+100 – п. Большая Лавровка на территории Полевского городского округа и городского округа Ревда"
Номер опубликования: 6601202110120003
Дата опубликования: 12.10.2021
Страница №105 из 136:
Увеличить