Официальное опубликование правовых актов
ОФИЦИАЛЬНОЕ ОПУБЛИКОВАНИЕ
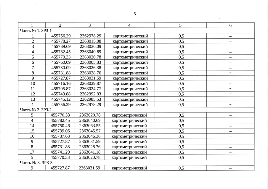
Приказ Управления государственной охраны объектов культурного наследия Свердловской области от 17.09.2021 № 322
"Об установлении зон охраны объекта культурного наследия регионального значения "Особняк Д.А. Бахарева", расположенного по адресу: Свердловская область, Байкаловский район, с. Байкалово, ул. Советская, д. 2, и утверждении требований к градостроительным регламентам в границах данных зон"
Номер опубликования: 6601202109170006
Дата опубликования: 17.09.2021
Страница №5 из 13:
Увеличить