Официальное опубликование правовых актов
ОФИЦИАЛЬНОЕ ОПУБЛИКОВАНИЕ
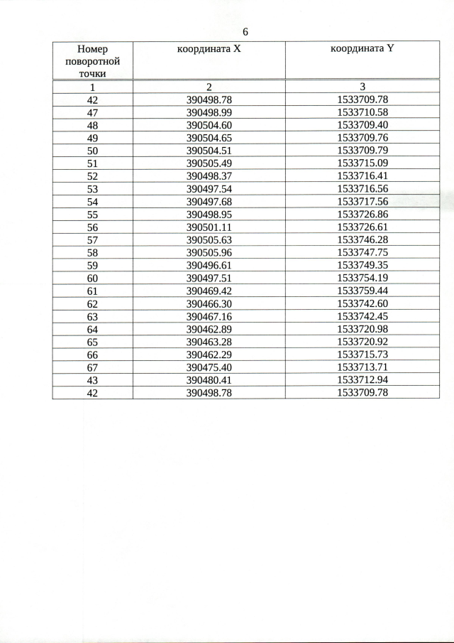
Приказ Управления государственной охраны объектов культурного наследия Свердловской области от 14.04.2021 № 101
"Об установлении зон охраны объекта культурного наследия регионального значения "Две лавки", расположенного по адресу: Свердловская область, г. Екатеринбург, ул. 8 Марта, д. 23, ул. 8 Марта, д. 25, и утверждении требований к градостроительным регламентам в границах данных зон"
Номер опубликования: 6601202104160001
Дата опубликования: 16.04.2021
Страница №6 из 12:
Увеличить